学生意见邮箱:ynauxsc@ynau.edu.cn
Toggle navigation
首页
部门概况
学生科
学生中心
资助科
心理健康教育与咨询中心
武装部
思政科
宿管科
综合科
思政工作
队伍建设
主题教育
学生管理
规章制度
办事指南
下载专区
资助管理
政策流程
资助动态
公示栏
学生风采
学生中心
关于我们
队伍建设
学风建设
考研动态
心理健康
预约咨询
通知公告
心闻科普
国防教育
宣传教育
军训工作
征兵入伍
下载专区
公寓管理
规章制度
业务办理
工作动态
下载专区
学工动态
下载专区
您的位置:
首页
/
资助管理
/
公示栏
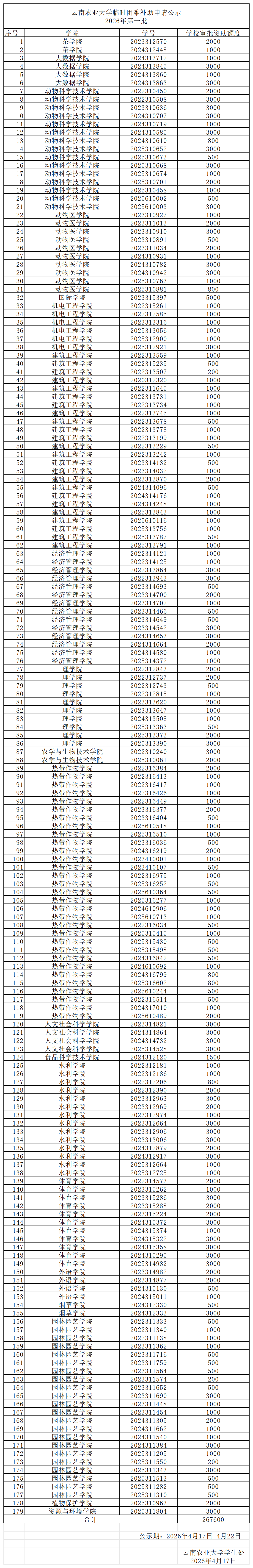
云南农业大学临时特困补助申请公示(2026年第一批)
2026-04-17 阅读数:100
热门文章
云南农业大学2024-2025学年“义工之星”公示
云南农业大学2024年本专科生国家励志奖学金、省政府励志奖学金及国家助学金评审结果公示
云南农业大学关于2023-2024学年国家奖学金(第二批)推荐评审结果公示
云南农业大学关于2023-2024学年校级奖学金评审通过名单公示
云南农业大学关于2023-2024学年本专科生国家励志奖学和省政府奖学金替补推荐评审结果公示
云南农业大学临时特困补助申请批复公示(2024年第三批)
云南农业大学关于2024-2025学年校级奖学金评审通过名单的公示
云南农业大学临时特困补助申请批复公示(2024年第四批)
云南农业大学2024年服兵役教育资助情况公示
关于张旭等学生替补获得2024-2025学年国家助学金资助的公示